Makale Başlığı: Karmaşık sistemlerde kritik geçişler sırasında tekrarlayan yoğunlaşma
Makale Bağlantısı: https://doi.org/10.1063/5.0267157
Yayın Tarihi: 1 Ağustos 2025
Dergi: Chaos
Karmaşık sistemler, dışsal pertürbasyonlar veya içsel parametrelerdeki kademeli değişiklikler altında sıklıkla stabilite sınırları arasında ani geçişler geçirerek, radikal olarak farklı dinamik durumlara girerler. Bu tür kritik geçişler iklim, ekoloji, finans piyasaları ve mühendislik sistemlerinde yaygın olarak görülür ve ekolojik çöküşler, piyasa çöküşleri, ani iklim değişiklikleri veya yanma sistemi istikrarsızlıkları şeklinde kendini gösterir. Ancak, geleneksel istatistiksel yöntemler genellikle uzun zaman serileri gerektirirken, gerçek dünya verileri genellikle kısadır, düzensizdir ve gürültüyle kirlenmiştir, bu da kritik noktanın tanımlanmasını son derece zor hale getirir. Sonuç olarak, sınırlı veriler ve yüksek gürültülü ortamlarda geçiş sinyallerini yakalayabilen yöntemler geliştirmek, disiplinler arası bir zorluk teşkil etmektedir. Son yıllarda, siklotron analizi, zaman serisi verilerindeki gizli yapıları ortaya çıkarmak için doğrusal olmayan bir dinamik araç olarak öne çıkmıştır. Bu çalışmada önerilen “siklotron yoğunlaşması” fenomeni, kritik geçişler sırasında zaman ölçeğinde çöküşün mekanizmasını ortaya koymaktadır. Bu fenomenin evrenselliği, hem deneysel hem de teorik modelleme yoluyla doğrulanmış olup, karmaşık sistemlerde erken uyarı araştırmaları için yeni yollar açmaktadır.
Araştırma ekibi, türbülanslı yanmadaki termoakustik sistemi (thermoacoustic system) inceleme nesnesi olarak seçti. Bu sistem, akış hızı değişimleri altında düşük genlikli kaotik gürültüden (combustion noise) yüksek genlikli kendi kendine uyarılmış titreşimlere (thermoacoustic instability) geçiş yapar. Bu süreç, roket motorları ve gaz türbinlerinin güvenliği açısından önem taşırken aynı zamanda kritik geçişleri incelemek için ideal bir senaryo sağlar.

Yöntemsel düzeyde, araştırmacılar önce Takens gecikme gömme yöntemini kullanarak ses basıncı gibi deneysel zaman serilerinin faz uzayını yeniden oluşturdular. Ardından, Öklid mesafesinin bir eşik değerinin altında olması koşuluna göre “döngüler” belirlediler ve böylece siyah-beyaz bir döngüsel diyagram oluşturdular. Tekrar grafikleri aracılığıyla araştırmacılar, kaotik durumlarda grafiklerin kısa, parçalı diyagonal çizgiler sergilediğini gözlemlediler. Sistem kritik noktalara yaklaştıkça, düzenli yapıların küçük parçaları yavaş yavaş ortaya çıktı. Tersine, periyodik durumlarda grafikler açıkça uzun, sürekli diyagonal çizgiler sergiledi. Birden fazla zaman ölçeğinden tek bir zaman ölçeğine bu çöküş, “recurrence condensation” olarak adlandırılıyor.

Şekil 2.
Döngüsel yoğunlaşmanın τ-geri dönüş oranı ve tepe-arası spektrumu kullanılarak görselleştirilmesi. Yanma gürültüsü durumu I-(a) (Re= 2.13 × 10 4 ’ta kaotik durum), aralıklı durum II-(a) (Re= 2.88 × 10 4 ) ve termoakustik kararsızlık durumu III-(a) (Re= 3.09 × 10 4 ’deki LCO durumu) altında yanma odasındaki kayma blokları içindeki akustik basınç dalgalanmalarının zaman serileri. İlgili faz diyagramları bu sistemlerdeki (I–III) çekici kümelerin evrimini göstermektedir (C). Sırasıyla 1, 1 ve 0.1 s (B) olan zaman serisi pencereleri, çekicinin boyutuna karşılık gelen %20’lik döngü eşiği kullanılarak RPs (D) oluşturulmuştur. (I)–(III)(E) için τ-RR. (I)–(III)(F) ise (I)–(III)(E)’de gösterilen τ-RR’lerin tepe-arası spektrumudur. Yanma gürültüsünden salınım kararsızlığına geçiş sürecinde τ-RR geniş dağılımdan tek bir değere dönüşür; bu, ISS’de geniş spektrdan baskın moda doğru bir yoğunlaşma olarak ortaya çıkar.
Döngüsel Kantitatif Analiz: Görüntüden Göstergelere
Sadece görsel tanıma bu olguyu nicelendirmenin yeterli değildir. Araştırma ekibi, grafikten birden fazla geometrik özellik göstergesi çıkaran Döngüsel Kantitatif Analiz (RQA) yöntemini tanıttı:
- Deterministiklik (Determinism, DET): Sistem yörüngelerinin öngörülebilirliğini yansıtır, geçişle birlikte belirgin şekilde artar.
- Çapraz uzunluk entropisi (Entropy, Entr): Yörüngenin karmaşıklığını ölçer, kritik noktadan önce önce artıp sonra azalır.
- Laminiyelik (Laminarity, LAM) ve kapanma süresi (Trapping Time, TT): Sistemin bir durumda kalma sürekliliğini ortaya koyar ve kritik noktaya yaklaşırken azalır.
- Tekrarlama Zamanı (Recurrence Time, RT) ve onun entropisi (RTE): Sistemin önceki yörüngenin komşuluğuna geri dönme zaman düzenini gösterir; dönüşüm sürecinde kademeli olarak yakınsar.
Bu göstergeler birlikte sistemin kaostan periyodik duruma geçiş yolunu tanımlar ve kritik nokta yakınında tipik bir güç yasası ölçeklenmesi sergiler; yani göstergelerin kontrol parametresinin kritik değerden sapmasıyla arasındaki fark güç ilişkisi gösterir; bu, güç yasası uyum hatasının en küçük olduğu yeri bularak kritik noktanın hassas şekilde belirlenebileceği anlamına gelir. Ayrıca, sistem kritik noktayı geçtiğinde zaman ölçeği çöküşü yaşar; bu, entropide azalma ve düzenlilikte artış olarak ortaya çıkar.

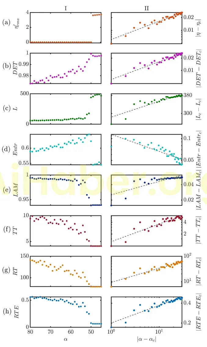
Şekil 3. Kritik nokta yakınında RQA metriklerinin ölçeklendirilmesi. Kontrol parametresi Re’nin bir fonksiyonu olarak p’ rms I(a) ve döngüsel ölçümler I(b–h). Tüm döngü tabanlı ölçümlerin periyodik salınımlara geçişi önceden tahmin ettiğini gözlemliyoruz. Kontrol parametresindeki (Re) karşılık gelen farklar ile kritik noktadaki değeri (Rec = 2,96 ± 0,069 × 10⁴) arasında bir güç yasası ölçeklendirme ilişkisi vardır (I(a–h)). Rec’de, hem kaotik hem de periyodik özellikler sergileyen aralıklı bir davranış vardır.
Model Doğrulaması: Hopf Çatallanmasında “Döngü Yoğunlaşması”
Evrenselliği doğrulamak için araştırmacılar gürültülü Hopf katlanma modelini de incelediler. Alt kritik ya da üst kritik Hopf katlanması olsun, sistem katlanma noktasına yaklaşırken benzer döngü yoğunlaşması olgusu sergiledi. RQA göstergeleri kuvvet yasası ölçeklenmesi sinyalini önden verdi ve bunun karşılık gelen kritik noktası teorik katlanma noktasıyla yüksek oranda örtüştü. Bu, döngü yoğunlaşmasının türbülanslı yanmanın bir özel durumu olmadığını, aksine karmaşık sistemlerin kritik dönüşümlerinin evrensel bir özelliği olabileceğini gösteriyor.

Şekil 4. Gürültülü alt-kritik Hopf ayrışmasının RQA ölçüm ölçeği。
Sonuçlar ve Görünüm
Bu makalede önerilen “döngüsel yoğuşma” olgusu, karmaşık sistemin kaostan düzene geçiş sürecini zaman ölçeğinin çöküşü olarak somutlaştırır ve döngü grafiği ile RQA aracılığıyla nicel bir tanımlama sağlar. Güç yasası ölçeklenme özelliği, kritik noktanın hassas bir şekilde tanımlanmasını mümkün kılar.
Deneysel arka plan yanma fiziğinden gelmesine rağmen, bu metodolojinin önemi mühendislik alanını çok aşar; iklim, ekoloji, finans ve biyolojik sistemler gibi alanlarda geniş uygulama imkanına sahiptir ve potansiyel felaketleri öngörmek için erken uyarı sağlar. İklim sistemindeki buz örtüsü çöküşleri, ekosistemlerde türlerin yok oluşu ya da finansal piyasalardaki şiddetli dalgalanmalar, yüksek boyutlu ve gürültü içeren kritik dönüşümlere örnektir. Bu da gelecekte disiplinlerarası kritik dönüşüm araştırmaları için güçlü bir araç kutusu sunar.
Henüz yorum yok. İlk yorumu siz yapın!